Упр.225 ГДЗ Мерзляк 8 класс (Алгебра)
Решение #1
Решение #2
Решение #3

Рассмотрим вариант решения задания из учебника Мерзляк, Полонская, Якир 8 класс, Вентана-Граф:
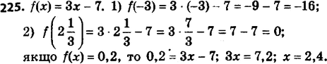
225. Найдите значение функции f(х) = 3х - 7 при:
1) х = -3;
2) х = 2 1/3.
При каком значении аргумента значение функции равно 0,2?
Похожие решебники
Популярные решебники 8 класс Все решебники
*К сожалению, временные проблемы с публикацией комментариев с мобильных устройств.