Упр.22.26 ГДЗ Мордкович Семенов 11 класс (Алгебра)
Решение #1 (Учебник 2025)

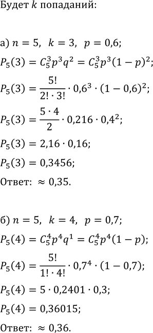
Рассмотрим вариант решения задания из учебника Мордкович, Семенов, Александрова 11 класс, Просвещение:
а) Стрелок в тире 5 раз стреляет по движущейся мишени. Вероятность попадания при одном выстреле равна 0,6. Найдите вероятность того, что стрелок 3 раза попадёт и 2 раза промахнётся.
б) Стрелок в тире 5 раз стреляет по движущейся мишени. Вероятность попадания при одном выстреле равна 0,7. Найдите вероятность того, что стрелок промахнётся только 1 раз.
Похожие решебники
Популярные решебники 11 класс Все решебники
*К сожалению, временные проблемы с публикацией комментариев с мобильных устройств.