Упр.21.2 ГДЗ Мерзляк 10 класс Углубленный уровень (Алгебра)
Решение #1

Рассмотрим вариант решения задания из учебника Мерзляк, Номировский, Поляков 10 класс, Просвещение:
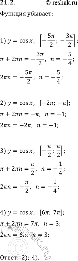
21.2. Какие из данных промежутков являются промежутками убывания функции y=cos(x):
1) [-5?/2; -3?/2]; 2) [-2?; -?]; 3) [-?/2; ?/2]; 4) [6?; 7?]?
Похожие решебники
Популярные решебники 10 класс Все решебники
*размещая тексты в комментариях ниже, вы автоматически соглашаетесь с пользовательским соглашением