Упр.21.3 ГДЗ Мерзляк 10 класс Углубленный уровень (Алгебра)
Решение #1

Рассмотрим вариант решения задания из учебника Мерзляк, Номировский, Поляков 10 класс, Просвещение:
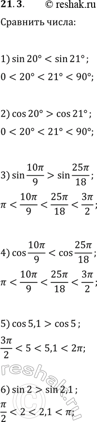
21.3. Сравните:
1) sin(20°) и sin(21°); 4) cos(10?/9) и cos(25?/18);
2) cos(20°) и cos(21°); 5) cos(5,1) и cos(5);
3) sin(10?/9) и sin(25?/18); 6) sin(2) и sin(2,1).
Похожие решебники
Популярные решебники 10 класс Все решебники
*размещая тексты в комментариях ниже, вы автоматически соглашаетесь с пользовательским соглашением