Упр.21.4 ГДЗ Мерзляк 10 класс Углубленный уровень (Алгебра)
Решение #1

Рассмотрим вариант решения задания из учебника Мерзляк, Номировский, Поляков 10 класс, Просвещение:
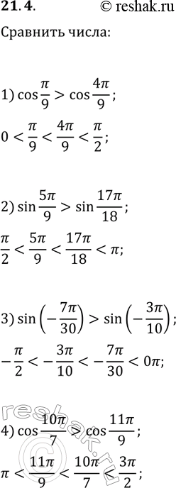
21.4. Сравните:
1) cos(?/9) и cos(4?/9); 3) sin(-7?/30) и sin(-3?/10);
2) sin(5?/9) и sin(17?/18); 4) cos(10?/7) и cos(11?/9).
Похожие решебники
Популярные решебники 10 класс Все решебники
*размещая тексты в комментариях ниже, вы автоматически соглашаетесь с пользовательским соглашением