Упр.21.12 ГДЗ Мордкович Семенов 11 класс (Алгебра)
Решение #1 (Учебник 2025)
Решение #2 (Учебник 2022)

Рассмотрим вариант решения задания из учебника Мордкович, Семенов, Александрова 11 класс, Просвещение:
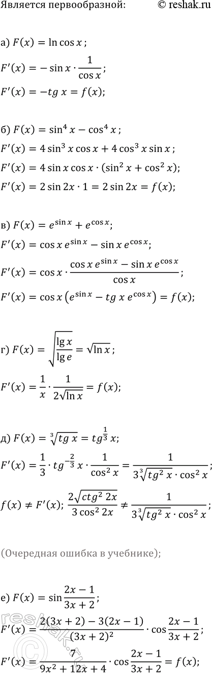
Докажите, что функция y = F(x) является первообразной для функции y = f(x):
а) F(x) = ln(cos x), f(x) = -tg x;
б) F(x) = sin^4 x - cos^4 x, f(x) = 2sin 2x;
в) F(x) = e^(sin x) + e^(cos x), f(x) = cos(e^(sin x) - tg x · e^(cos x));
г) F(x) = v(lg(x) / lg(e)), f(x) = 1 / (2x vln(x));
д) F(x) = (tg x)^(1/3), f(x) = 2v(ctg^2(2x)) / (3cos^2(2x));
е) F(x) = sin((2x - 1) / (3x + 2)), f(x) = 7/(9x^2 + 12x + 4) · cos((2x - 1) / (3x + 2)).
Точка движется по координатной прямой со скоростью, заданной формулой v=v(t). Найдите закон движения s=s(t), если известны начальные условия (t_0, s_0):
а) v=2+6t, t_0=2, s_0=6;
б) v=-sin(t/3), t_0=?, s_0=4;
в) v=3vt, t_0=4, s_0=10;
г) v=3+4t, t_0=5, s_0=30;
д) v=2cos(4t), t_0=?/24, s_0=3,75;
е) v=-2/t^2, t_0=0,25, s_0=5.
Похожие решебники
Популярные решебники 11 класс Все решебники
*К сожалению, временные проблемы с публикацией комментариев с мобильных устройств.