Упр.20.6 ГДЗ Мерзляк 10 класс Углубленный уровень (Алгебра)
Решение #1

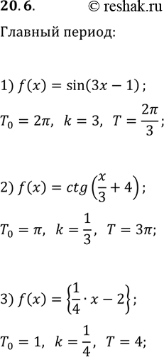
Рассмотрим вариант решения задания из учебника Мерзляк, Номировский, Поляков 10 класс, Просвещение:
20.6. Найдите главный период функции:
1) f(x)=sin(3x-1); 3) f(x)={x/4-2}.
2) f(x)=ctg(x/3+4);
Похожие решебники
Популярные решебники 10 класс Все решебники
*размещая тексты в комментариях ниже, вы автоматически соглашаетесь с пользовательским соглашением