Упр.20.5 ГДЗ Мерзляк 10 класс Углубленный уровень (Алгебра)
Решение #1

Рассмотрим вариант решения задания из учебника Мерзляк, Номировский, Поляков 10 класс, Просвещение:
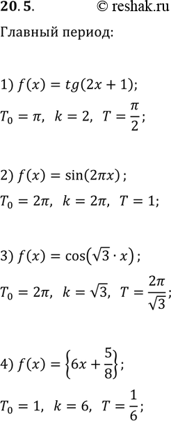
20.5. Найдите главный период функции:
1) f(x)=tg(2x+1); 3) f(x)=cos(v3x);
2) f(x)=sin(2?x); 4) f(x)={6x+5/8}.
Похожие решебники
Популярные решебники 10 класс Все решебники
*размещая тексты в комментариях ниже, вы автоматически соглашаетесь с пользовательским соглашением