Упр.20.12 ГДЗ Мерзляк 10 класс Углубленный уровень (Алгебра)
Решение #1

Рассмотрим вариант решения задания из учебника Мерзляк, Номировский, Поляков 10 класс, Просвещение:
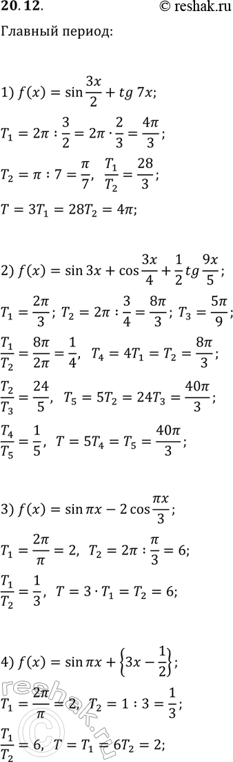
20.12. Найдите период функции:
1) f(x)=sin(3x/2)+tg(7x); 3) f(x)=sin(?x)-2cos(?x/3);
2) f(x)=sin(3x)+cos(3x/4)+(1/2)tg(9x/5); 4) f(x)=sin(?x)+{3x-1/2}.
Похожие решебники
Популярные решебники 10 класс Все решебники
*размещая тексты в комментариях ниже, вы автоматически соглашаетесь с пользовательским соглашением