Упр.19.13 ГДЗ Мерзляк 10 класс Углубленный уровень (Алгебра)
Решение #1

Рассмотрим вариант решения задания из учебника Мерзляк, Номировский, Поляков 10 класс, Просвещение:
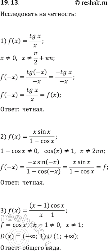
19.13. Исследуйте на чётность функцию:
1) f(x)=tg(x)/x;
2) f(x)=x sin(x)/(1-cos(x));
3) f(x)=(x-1)cos(x)/(x-1).
Похожие решебники
Популярные решебники 10 класс Все решебники
*размещая тексты в комментариях ниже, вы автоматически соглашаетесь с пользовательским соглашением