Упр.2.69 ГДЗ Дорофеев Суворова 9 класс (Алгебра)
Решение #1

Рассмотрим вариант решения задания из учебника Дорофеев, Суворова, Бунимович 9 класс, Просвещение:
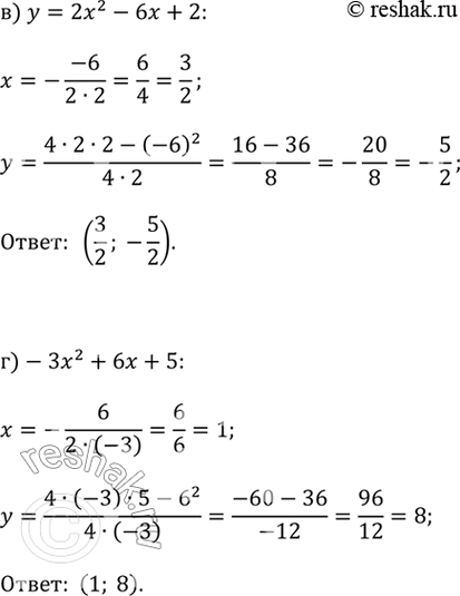
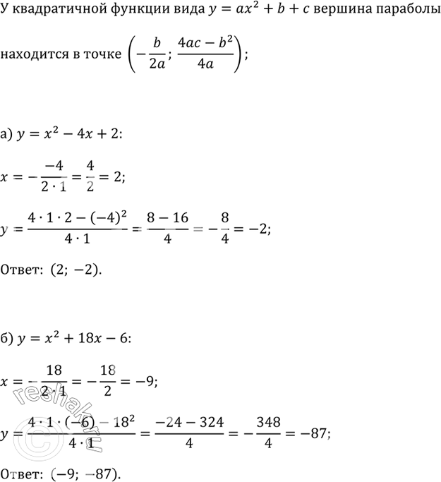
Вычислите координаты вершины параболы:
а) у = х^2 — 4х + 2; в) у = 2х^2 - 6х + 2;
б) у = х^2 + 18х - 6; г) у = -Зх^2 + 6х + 5.
Популярные решебники 9 класс Все решебники
*К сожалению, временные проблемы с публикацией комментариев с мобильных устройств.