Упр.2.63 ГДЗ Дорофеев Суворова 9 класс (Алгебра)
Решение #1

Рассмотрим вариант решения задания из учебника Дорофеев, Суворова, Бунимович 9 класс, Просвещение:
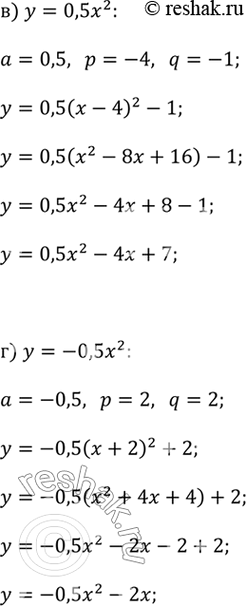
Запишите уравнение вида у = ах^2 + bx + с для параболы, изображённой на рисунке 2.32, а—г, если известно, что она получена сдвигами вдоль осей координат параболы:
а) у = 2х^2; б) у = -х^2; в) у = 0,5х^2; г) у = -0,5х^2.
Рис. 2.32
Указание. Составьте для каждого графика соответствующую ему формулу в виде у = а(х + р)^2 + q, а затем преобразуйте её к виду у = ах^2 + bх + с.
Популярные решебники 9 класс Все решебники
*К сожалению, временные проблемы с публикацией комментариев с мобильных устройств.