Упр.193 ГДЗ Мерзляк 8 класс (Алгебра)
Решение #1
Решение #2
Решение #3

Рассмотрим вариант решения задания из учебника Мерзляк, Полонская, Якир 8 класс, Вентана-Граф:
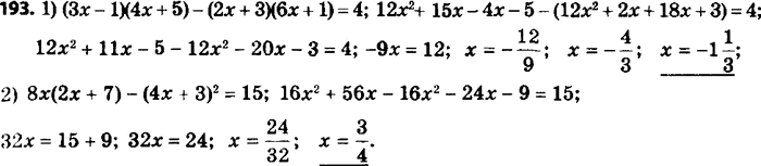
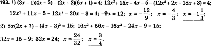
193. Решите уравнение:
1) (3x - 1)(4х + 5) - (2х + 3)(6х + 1) = 4;
2) 8х(2х + 7) - (4х + 3)2 = 15.
Похожие решебники
Популярные решебники 8 класс Все решебники
*К сожалению, временные проблемы с публикацией комментариев с мобильных устройств.