Упр.18.22 ГДЗ Мордкович Семенов 11 класс (Алгебра)
Решение #1

Рассмотрим вариант решения задания из учебника Мордкович, Семенов, Александрова 11 класс, Просвещение:
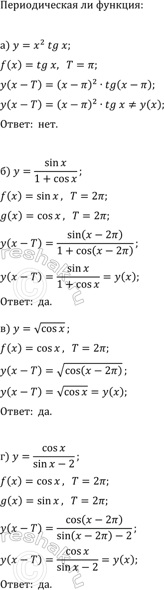
18.22. Является ли заданная функция периодической:
а) y=x^2 tg(x); в) y=v(cos(x));
б) y=sin(x)/(1+cos(x)); г) y=cos(x)/(sin(x)-2)?
Похожие решебники
Популярные решебники 11 класс Все решебники
*размещая тексты в комментариях ниже, вы автоматически соглашаетесь с пользовательским соглашением