Упр.18.21 ГДЗ Мордкович Семенов 11 класс (Алгебра)
Решение #1

Рассмотрим вариант решения задания из учебника Мордкович, Семенов, Александрова 11 класс, Просвещение:
18.21. Решите неравенство:
а) 5^(2x) (5^(2x)+5^(4-2x)-130)?0;
б) 6^(4x) (6^(2x+1)+6^(1-2x)-36)?0;
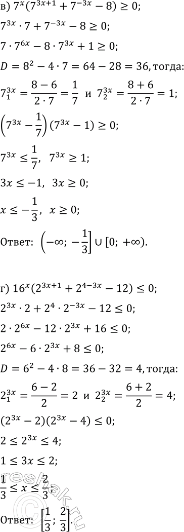
в) 7^x (7^(3x+1)+7^(-3x)-8)?0;
г) 16^x (2^(3x+1)+2^(4-3x)-12)?0.
Похожие решебники
Популярные решебники 11 класс Все решебники
*размещая тексты в комментариях ниже, вы автоматически соглашаетесь с пользовательским соглашением