Упр.16.36 ГДЗ Мордкович Семенов 11 класс (Алгебра)
Решение #1 (Учебник 2025)

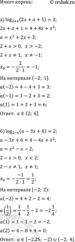
Рассмотрим вариант решения задания из учебника Мордкович, Семенов, Александрова 11 класс, Просвещение:
а) Найдите все значения a, при которых уравнение log(2 + x; 2x + a + 1) = 2 имеет хотя бы один корень на промежутке (-2; 1].
б) Найдите все значения a, при которых уравнение log(2 - x; a - 3x + 6) = 2 имеет хотя бы один корень на промежутке [-2; 2).
Похожие решебники
Популярные решебники 11 класс Все решебники
*К сожалению, временные проблемы с публикацией комментариев с мобильных устройств.