Упр.149 ГДЗ Мерзляк 9 класс (Алгебра)
Решение #1 (Учебник 2026)
Решение #2 (Учебник 2021)
Решение #3 (Учебник 2021)

Рассмотрим вариант решения задания из учебника Мерзляк, Полонская, Якир 9 класс, Просвещение:
Решите уравнение методом замены переменной:
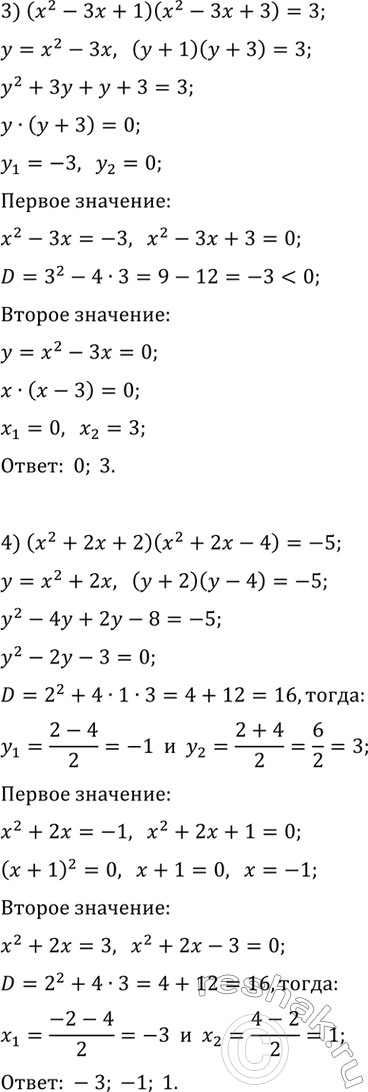
1) (x^2-2)^2-8(x^2-2)+7=0; 2) (x^2+5x)^2-2(x^2+5x)-24=0;
3) (x^2-3x+1)(x^2-3x+3)=3; 4) (x^2+2x+2)(x^2+2x-4)=-5.
Сумма трёх последовательных натуральных чётных чисел не меньше чем 85.
Найдите наименьшие три числа, удовлетворяющие этому условию.
Похожие решебники
Популярные решебники 9 класс Все решебники
*К сожалению, временные проблемы с публикацией комментариев с мобильных устройств.