Упр.146 ГДЗ Мерзляк 9 класс (Алгебра)
Решение #1 (Учебник 2026)
Решение #2 (Учебник 2021)
Решение #3 (Учебник 2021)

Рассмотрим вариант решения задания из учебника Мерзляк, Полонская, Якир 9 класс, Просвещение:
Решите уравнение:
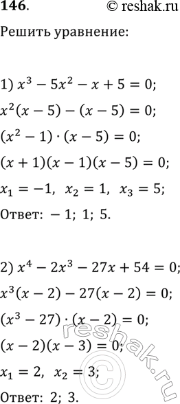
1) x^3-5x^2-x+5=0;
2) x^4-2x^3-27x+54=0.
В коробке находятся синие и жёлтые шары. Количество синих шаров относится к количеству жёлтых как 3 : 4.
Какое наибольшее количество синих шаров может быть в коробке, если всего шаров не больше 44?
Похожие решебники
Популярные решебники 9 класс Все решебники
*К сожалению, временные проблемы с публикацией комментариев с мобильных устройств.