Упр.153 ГДЗ Мерзляк 9 класс (Алгебра)
Решение #1 (Учебник 2024)
Решение #2 (Учебник 2021)
Решение #3 (Учебник 2021)

Рассмотрим вариант решения задания из учебника Мерзляк, Полонская, Якир 9 класс, Просвещение:
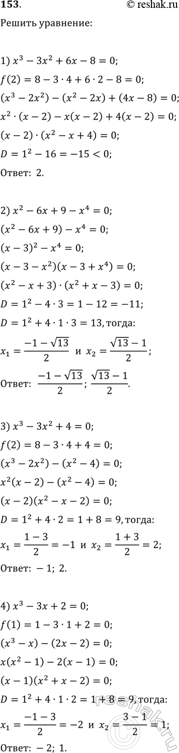
Решите уравнение:
1) x^3-3x^2+6x-8=0; 3) x^3-3x^2+4=0;
2) x^2-6x+9-x^4=0; 4) x^3-3x+2=0.
Решите уравнение:
1) |х - 3| + х = 15;
2) |х + 1| - 4х = 14;
3) |3х - 12| - 2х = 1;
4) |х + 2| - х = 1.
Похожие решебники
Популярные решебники 9 класс Все решебники
*размещая тексты в комментариях ниже, вы автоматически соглашаетесь с пользовательским соглашением