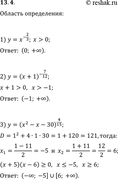
Упр.13.4 ГДЗ Мерзляк 10 класс Углубленный уровень (Алгебра)
Решение #1

Рассмотрим вариант решения задания из учебника Мерзляк, Номировский, Поляков 10 класс, Просвещение:
13.4. Найдите область определения функции:
1) y=x^(-2/3); 2) y=(x+1)^(-7/12); 3) y=(x^2-x-30)^(4/15).
Похожие решебники
Популярные решебники 10 класс Все решебники
*К сожалению, временные проблемы с публикацией комментариев с мобильных устройств.