Упр.13.3 ГДЗ Мерзляк 10 класс Углубленный уровень (Алгебра)
Решение #1

Рассмотрим вариант решения задания из учебника Мерзляк, Номировский, Поляков 10 класс, Просвещение:
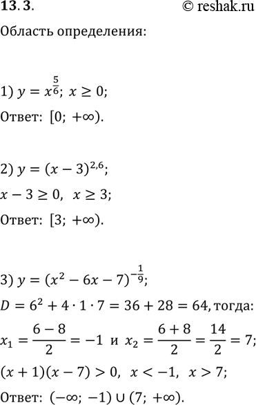
13.3. Найдите область определения функции:
1) y=x^(5/6); 2) y=(x-3)^2,6; 3) y=(x^2-6x-7)^(-1/9).
Похожие решебники
Популярные решебники 10 класс Все решебники
*размещая тексты в комментариях ниже, вы автоматически соглашаетесь с пользовательским соглашением