Упр.11.6 ГДЗ Мерзляк 10 класс Углубленный уровень (Алгебра)
Решение #1

Рассмотрим вариант решения задания из учебника Мерзляк, Номировский, Поляков 10 класс, Просвещение:
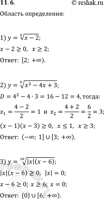
11.6. Найдите область определения функции:
1) y=(x-2)^(1/4); 2) y=(x^2-4x+3)^(1/6); 3) y=(|x|(x-6))^(1/10).
Похожие решебники
Популярные решебники 10 класс Все решебники
*размещая тексты в комментариях ниже, вы автоматически соглашаетесь с пользовательским соглашением