Упр.11.11 ГДЗ Мерзляк 10 класс Углубленный уровень (Алгебра)
Решение #1

Рассмотрим вариант решения задания из учебника Мерзляк, Номировский, Поляков 10 класс, Просвещение:
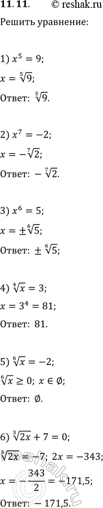
11.11. Решите уравнение:
1) x^5=9; 3) x^6=5; 5) x^(1/6)=-2;
2) x^7=-2; 4) x^(1/4)=3; 6) (2x)^(1/3)+7=0.
Похожие решебники
Популярные решебники 10 класс Все решебники
*размещая тексты в комментариях ниже, вы автоматически соглашаетесь с пользовательским соглашением