Упр.11.1 ГДЗ Мерзляк 10 класс Углубленный уровень (Алгебра)
Решение #1

Рассмотрим вариант решения задания из учебника Мерзляк, Номировский, Поляков 10 класс, Просвещение:
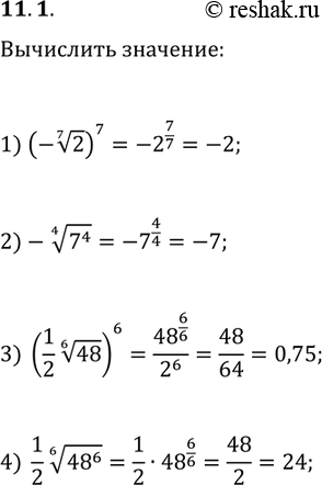
11.1. Вычислите:
1) (-2^(1/7))^7; 2) -(7^4)^(1/4);
3) ((1/2)48^(1/6))^6; 4) (1/2)(48^6)^(1/6).
Похожие решебники
Популярные решебники 10 класс Все решебники
*размещая тексты в комментариях ниже, вы автоматически соглашаетесь с пользовательским соглашением