Упр.11.4 ГДЗ Мерзляк 10 класс Углубленный уровень (Алгебра)
Решение #1

Рассмотрим вариант решения задания из учебника Мерзляк, Номировский, Поляков 10 класс, Просвещение:
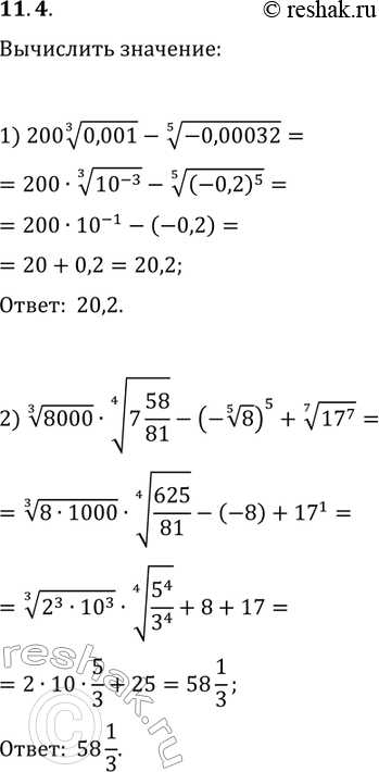
11.4. Вычислите:
1) 200(0,001^(1/3))-(-0,00032)^(1/5);
2) 8000^(1/3)В·(7 58/81)^(1/4)-(-8^(1/5))^5+(17^7)^(1/7).
Похожие решебники
Популярные решебники 10 класс Все решебники
*размещая тексты в комментариях ниже, вы автоматически соглашаетесь с пользовательским соглашением