Упр.11.15 ГДЗ Мерзляк 10 класс Углубленный уровень (Алгебра)
Решение #1

Рассмотрим вариант решения задания из учебника Мерзляк, Номировский, Поляков 10 класс, Просвещение:
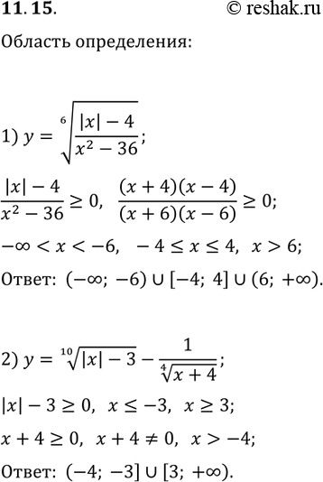
11.15. Найдите область определения выражения:
1) ((|x|-4)/(x^2-36))^(1/6); 2) (|x|-3)^(1/10)-1/(x+4)^(1/4).
Похожие решебники
Популярные решебники 10 класс Все решебники
*размещая тексты в комментариях ниже, вы автоматически соглашаетесь с пользовательским соглашением