Упр.11.14 ГДЗ Мерзляк 10 класс Углубленный уровень (Алгебра)
Решение #1

Рассмотрим вариант решения задания из учебника Мерзляк, Номировский, Поляков 10 класс, Просвещение:
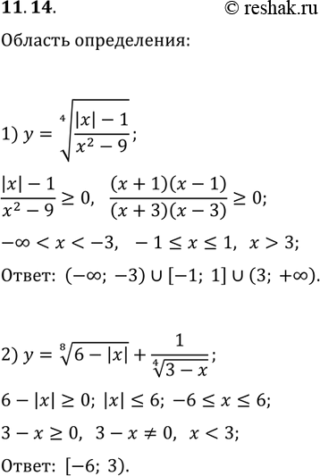
11.14. Найдите область определения выражения:
1) ((|x|-1)/(x^2-9))^(1/4); 2) (6-|x|)^(1/8)+1/(3-x)^(1/4).
Похожие решебники
Популярные решебники 10 класс Все решебники
*размещая тексты в комментариях ниже, вы автоматически соглашаетесь с пользовательским соглашением