Упр.10.7 ГДЗ Мерзляк 10 класс Углубленный уровень (Алгебра)
Решение #1

Рассмотрим вариант решения задания из учебника Мерзляк, Номировский, Поляков 10 класс, Просвещение:
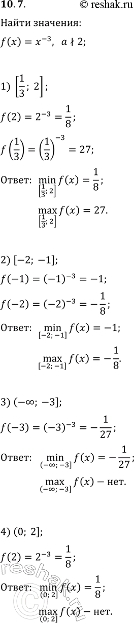
10.7. Найдите наибольшее и наименьшее значения функции f(x)=x^(-3) на промежутке:
1) [1/3; 2]; 2) [-2; -1]; 3) (-?; -3]; 4) (0; 2].
Похожие решебники
Популярные решебники 10 класс Все решебники
*К сожалению, временные проблемы с публикацией комментариев с мобильных устройств.