🔥ГДЗ под запретом?

Упр.1.79 ГДЗ Виленкин Жохов 6 класс Часть 1, Просвещение (Математика)

Решение #1 (Учебник 2023)

Изображение Постройте развёрнутый угол РОТ и проведите луч OS. Чему равны углы POS и SOT, если:а) угол POS вдвое меньше угла SOT;б) угол POS на 80° больше угла SOT;в) угол SOT...

Решение #2 (Учебник 2023)

Изображение Постройте развёрнутый угол РОТ и проведите луч OS. Чему равны углы POS и SOT, если:а) угол POS вдвое меньше угла SOT;б) угол POS на 80° больше угла SOT;в) угол SOT...

Решение #3 (Учебник 2021)

Изображение Постройте развёрнутый угол РОТ и проведите луч OS. Чему равны углы POS и SOT, если:а) угол POS вдвое меньше угла SOT;б) угол POS на 80° больше угла SOT;в) угол SOT...
Дополнительное изображение

Решение #4 (Учебник 2021)

Изображение Постройте развёрнутый угол РОТ и проведите луч OS. Чему равны углы POS и SOT, если:а) угол POS вдвое меньше угла SOT;б) угол POS на 80° больше угла SOT;в) угол SOT...
Дополнительное изображение

Решение #5 (Учебник 2021)

Изображение Постройте развёрнутый угол РОТ и проведите луч OS. Чему равны углы POS и SOT, если:а) угол POS вдвое меньше угла SOT;б) угол POS на 80° больше угла SOT;в) угол SOT...

Рассмотрим вариант решения задания из учебника Виленкин, Жохов, Чесноков 6 класс, Просвещение:
Вычислите:
а) (7/30 + 1/2 + 4/15) : (49/50 - 14/25 - 2/5);
б) 39 : (3/8 + 1/6) + (3/10)^2 · (2/3 - 7/18).

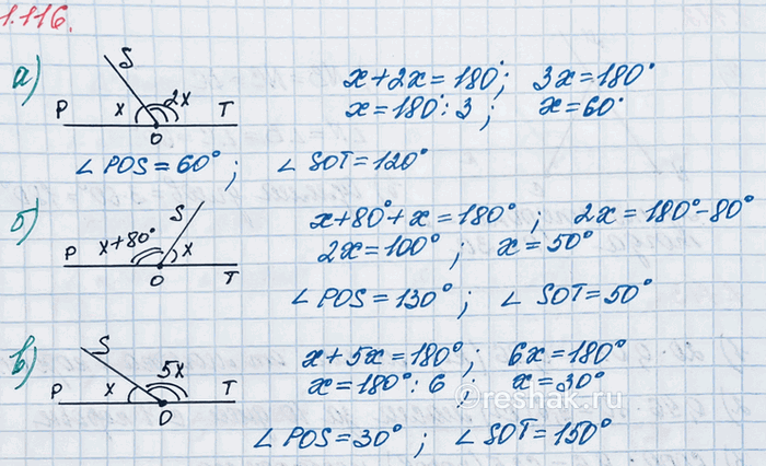
Постройте развёрнутый угол РОТ и проведите луч OS. Чему равны углы POS и SOT, если:
а) угол POS вдвое меньше угла SOT;
б) угол POS на 80° больше угла SOT;
в) угол SOT в 5 раз больше угла POS?

Угол POT - развёрнутый, то есть его градусная мера равна 180°.
а) Пусть POS равен x°.
Угол POS вдвое меньше угла SOT, значит, угол SOT в 2 раза больше угла POS, то есть SOT=2x.
Составим уравнение и решим его.
x+2x=180
Или, выполнив сложение,
3x=180
Неизвестен множитель x.
Для того, чтобы найти неизвестный множитель, необходимо произведение разделить на известный множитель, получим
x=180:3
Или, выполнив деление,
x=60°- POS.
Тогда, SOT=2x=2•60°=120°
Ответ: 60° и 120°.
б) Пусть SOT равен x°.
Угол POS на 80° больше угла SOT, значит, ?POS=x+80.
Составим уравнение и решим его.
x+x+80=180
Или, выполнив сложение,
2x+80=180
Неизвестно слагаемое 2x.
Для того, чтобы найти неизвестное слагаемое, необходимо из суммы вычесть известное слагаемое, получим
2x=180-80
Или, выполнив вычитание,
2x=100
Неизвестен множитель x.
Для того, чтобы найти неизвестный множитель, необходимо произведение разделить на известный множитель, получим
x=100:2
Или, выполнив деление,
x=50°- SOT.
Тогда, POS=x+80=50+80=130°
Ответ: 50° и 130°.
в) Пусть POS равен x°.
Угол SOT в 5 раз больше угла POS, значит, SOT=5x.
Составим уравнение и решим его.
x+5x=180
Или, выполнив сложение,
6x=180
Неизвестен множитель x.
Для того, чтобы найти неизвестный множитель, необходимо произведение разделить на известный множитель, получим
x=180:6
Или, выполнив деление,
x=30°- POS.
Тогда, SOT=5x=5•30°=150°
Ответ: 30° и 150°.

*Цитирирование задания со ссылкой на учебник производится исключительно в учебных целях для лучшего понимания разбора решения задания.
*К сожалению, временные проблемы с публикацией комментариев с мобильных устройств.