🔥ГДЗ под запретом?

Упр.1.76 ГДЗ Виленкин Жохов 6 класс Часть 1, Просвещение (Математика)

Решение #1 (Учебник 2023)

Изображение Углы КОМ и MOL в сумме составляют развёрнутый угол. Найдите градусную меру каждого угла, если известно, что угол КОМ составляет 5/6 прямого...

Решение #2 (Учебник 2023)

Изображение Углы КОМ и MOL в сумме составляют развёрнутый угол. Найдите градусную меру каждого угла, если известно, что угол КОМ составляет 5/6 прямого...

Решение #3 (Учебник 2021)

Изображение Углы КОМ и MOL в сумме составляют развёрнутый угол. Найдите градусную меру каждого угла, если известно, что угол КОМ составляет 5/6 прямого...

Рассмотрим вариант решения задания из учебника Виленкин, Жохов, Чесноков 6 класс, Просвещение:
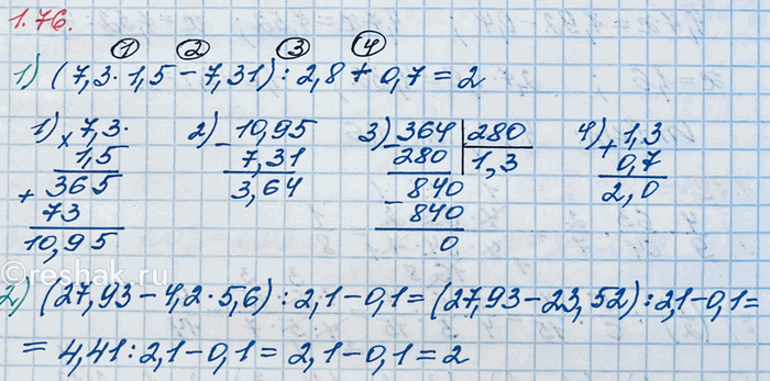
Найдите значение выражения:
1) (7,3 · 1,5 - 7,31) : 2,8 + 0,7; 2) (27,93 - 4,2 · 5,6) : 2,1 - 0,1.

Углы КОМ и MOL в сумме составляют развёрнутый угол. Найдите градусную меру каждого угла, если известно, что угол КОМ составляет 5/6 прямого угла.

*Цитирирование задания со ссылкой на учебник производится исключительно в учебных целях для лучшего понимания разбора решения задания.
*К сожалению, временные проблемы с публикацией комментариев с мобильных устройств.