🔥ГДЗ под запретом?

Упр.3.29 Старый учебник ГДЗ Мордковича 11 класс профильный уровень (Алгебра)

Решение #1(записки учителя)

Изображение 3.29.	а) Зx4 - 5x2 +	2 =	0;б)	7x8 + 3x4 -	10 =	0;в) x5 + 3x4 - 3x3 - x2 - 3x + 3 = 0;г) (2x2 - 3x + 1)2 - 5(2x2 - 3x + 1)(x2 + x + 3) + 4(x2 + x + 3)2...
Дополнительное изображение

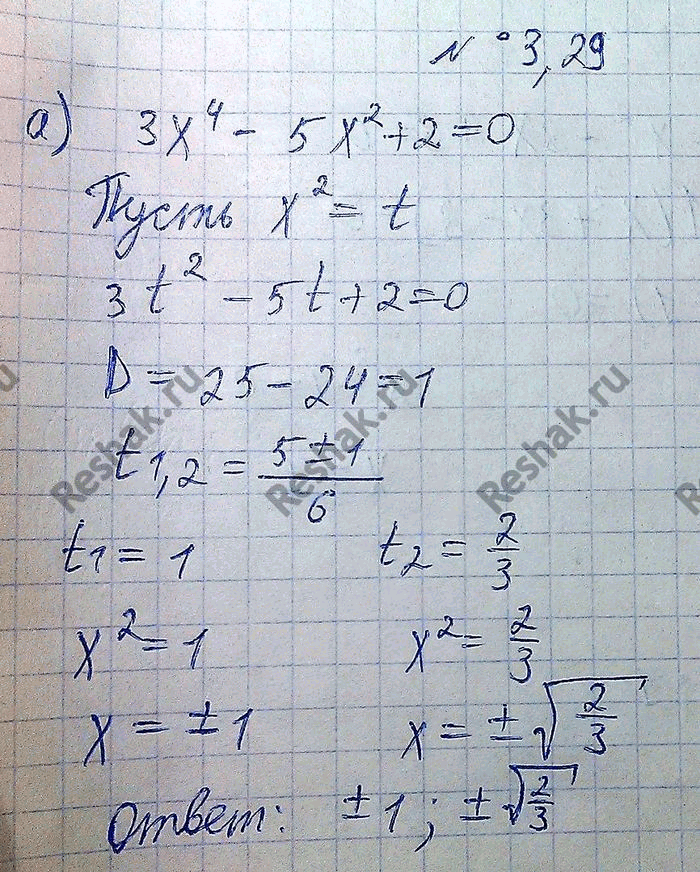
Решение #2(записки школьника)

Изображение 3.29.	а) Зx4 - 5x2 +	2 =	0;б)	7x8 + 3x4 -	10 =	0;в) x5 + 3x4 - 3x3 - x2 - 3x + 3 = 0;г) (2x2 - 3x + 1)2 - 5(2x2 - 3x + 1)(x2 + x + 3) + 4(x2 + x + 3)2...
Дополнительное изображение

Рассмотрим вариант решения задания из учебника Мордкович, Семенов 11 класс, Мнемозина:
3.29. а) Зx4 - 5x2 + 2 = 0;
б) 7x8 + 3x4 - 10 = 0;
в) x5 + 3x4 - 3x3 - x2 - 3x + 3 = 0;
г) (2x2 - 3x + 1)2 - 5(2x2 - 3x + 1)(x2 + x + 3) + 4(x2 + x + 3)2 =0.
*Цитирирование задания со ссылкой на учебник производится исключительно в учебных целях для лучшего понимания разбора решения задания.
*К сожалению, временные проблемы с публикацией комментариев с мобильных устройств.