Упр.3.24 ГДЗ Мордковича 11 класс профильный уровень (Алгебра)
Решение #1
Решение #2(записки учителя)
Решение #3(записки школьника)

Рассмотрим вариант решения задания из учебника Мордкович, Семенов 11 класс, Мнемозина:
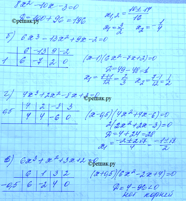
3.9. а) 16х3 - 28х2 + 4х + 3 = 0;
б) бх3 - 13х2 + 9х - 2 = 0;
в) 100х3 - 120х2 + 47х + 66 = 0;
г) 4x3 + 2x2 - 8х + 3 = 0.
Похожие решебники
Популярные решебники 11 класс Все решебники
*размещая тексты в комментариях ниже, вы автоматически соглашаетесь с пользовательским соглашением