Упр.21.28 ГДЗ Мордковича 11 класс профильный уровень (Алгебра)
Решение #1
Решение #2(записки учителя)
Решение #3(записки школьника)

Рассмотрим вариант решения задания из учебника Мордкович, Семенов 11 класс, Мнемозина:
Решите уравнение:
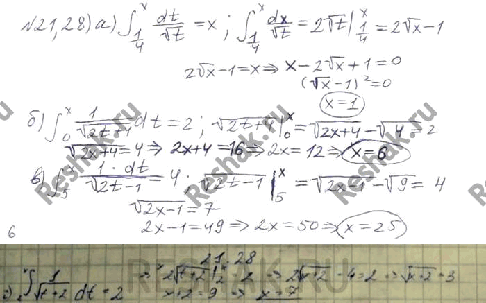
21.28 а)интеграл (1/4;x) dt/корень t=x;в)интеграл (5;x) 1/корень(2t-1) dt=4
б)интеграл (0;x) 1/корень(2t+4) dt=2; г)интеграл (2;x) 1/корень(t+2) dt=2.
Похожие решебники
Популярные решебники 11 класс Все решебники
*К сожалению, временные проблемы с публикацией комментариев с мобильных устройств.