Упр.21.27 ГДЗ Мордковича 11 класс профильный уровень (Алгебра)
Решение #1
Решение #2(записки учителя)
Решение #3(записки школьника)

Рассмотрим вариант решения задания из учебника Мордкович, Семенов 11 класс, Мнемозина:
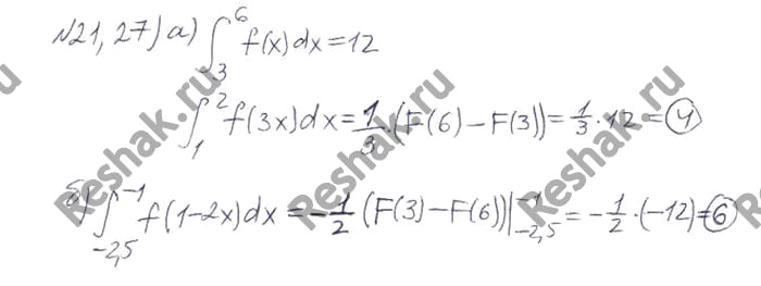
21.27 Зная,что интеграл (3;6) f(x)dx=12, найдите:
а)интеграл (1;2) f(3x)dx;б)интеграл (-2,5;-1) f(1-2x)dx.
Похожие решебники
Популярные решебники 11 класс Все решебники
*размещая тексты в комментариях ниже, вы автоматически соглашаетесь с пользовательским соглашением