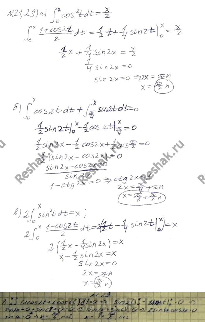
Упр.21.29 ГДЗ Мордковича 11 класс профильный уровень (Алгебра)
Решение #1
Решение #2(записки учителя)
Решение #3(записки школьника)

Рассмотрим вариант решения задания из учебника Мордкович, Семенов 11 класс, Мнемозина:
21.29 а)интеграл (0;x) cos2(t)dt=x/2;
б)интеграл (0;x) cos2tdt+интеграл (Пи/4;x) sin2tdt = 0;
в)2 интеграл (0;x) sin2(t)dt=x;
г)интеграл (0;x) (2cos2t + 6cos6t)dt=0.
Похожие решебники
Популярные решебники 11 класс Все решебники
*К сожалению, временные проблемы с публикацией комментариев с мобильных устройств.