Упр.17.21 ГДЗ Мордковича 11 класс профильный уровень (Алгебра)
Решение #1
Решение #2(записки учителя)
Решение #3(записки школьника)

Рассмотрим вариант решения задания из учебника Мордкович, Семенов 11 класс, Мнемозина:
Решите уравнение:
017.21. a) log2(x3 - 1) - log2(x2 + х + 1) = 4;
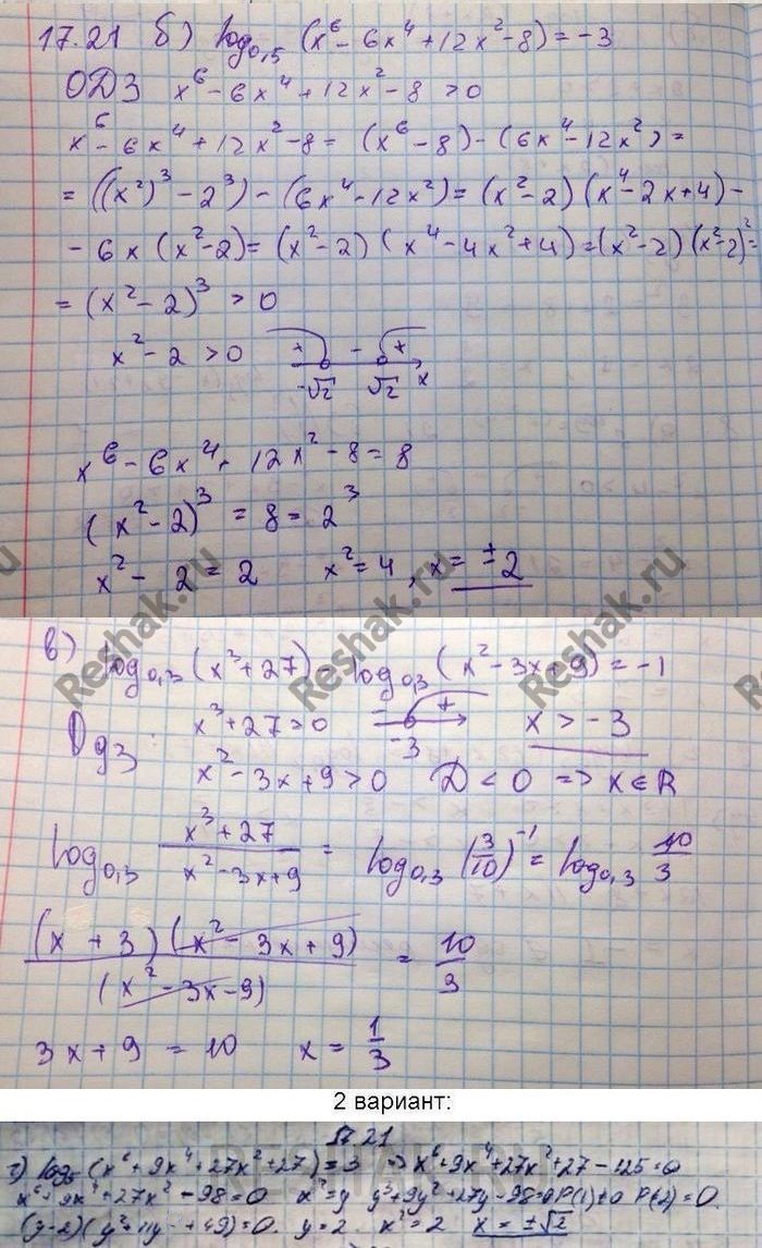
б) log 0,5 (x6 - 6x4 + 12x2 - 8) = -3;
в) log 0,3(x3 + 27) - log 0,3 (x2 - 3x + 9) = -1;
г) log5 (x6 + 9х4 + 27x2 + 27) = 3.
Похожие решебники
Популярные решебники 11 класс Все решебники
*размещая тексты в комментариях ниже, вы автоматически соглашаетесь с пользовательским соглашением