Упр.17.15 ГДЗ Мордковича 11 класс профильный уровень (Алгебра)
Решение #1
Решение #2(записки учителя)
Решение #3(записки школьника)

Рассмотрим вариант решения задания из учебника Мордкович, Семенов 11 класс, Мнемозина:
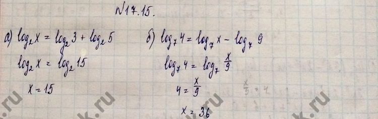
17.15. a) log2(x)= log2(3) + log2(5); в) log 1/3(4) + log 1/3(x) - log 1/3 18;
6) log7(4) = log7(x) - log7(9); r) log 0,4(9) - log 0,4(x) = log 0,4(3).
Похожие решебники
Популярные решебники 11 класс Все решебники
*размещая тексты в комментариях ниже, вы автоматически соглашаетесь с пользовательским соглашением