Упр.17.16 ГДЗ Мордковича 11 класс профильный уровень (Алгебра)
Решение #1
Решение #2(записки учителя)
Решение #3(записки школьника)

Рассмотрим вариант решения задания из учебника Мордкович, Семенов 11 класс, Мнемозина:
17.16. a) 2 log8(x) = log8(2,5) + log8(10);
6) 3 log2(1/2) - log2(1/32) = log2(x);
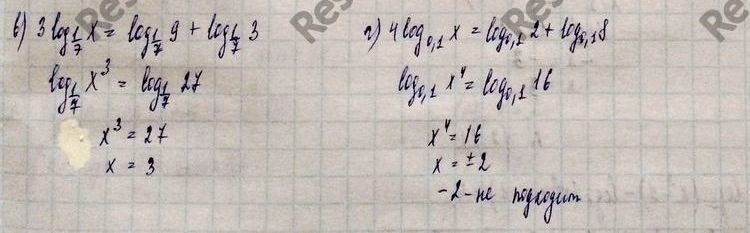
B) 3 log1/7(x) = log1/7(9) + log1/7(3);
г) 4 log 0,1(x) = log 0,1(2) + log 0,1(8).
Похожие решебники
Популярные решебники 11 класс Все решебники
*размещая тексты в комментариях ниже, вы автоматически соглашаетесь с пользовательским соглашением