Упр.17.17 ГДЗ Мордковича 11 класс профильный уровень (Алгебра)
Решение #1
Решение #2(записки учителя)
Решение #3(записки школьника)

Рассмотрим вариант решения задания из учебника Мордкович, Семенов 11 класс, Мнемозина:
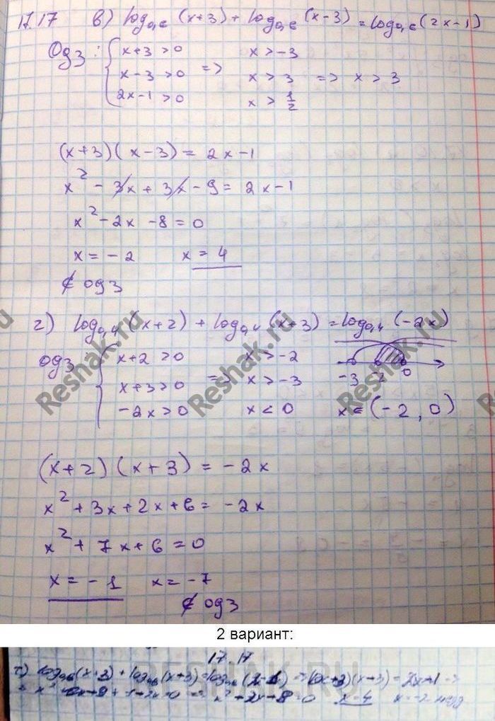
17.17. a) log3(x - 2) + log3(x + 2) = log3(2x - 1);
б) log 11 (x + 4) + log 11 (x - 7) = log 11 (7 - x);
в) log 0,6 (x + 3) + log 0,6 (x - 3) = log 0,6(2x - 1);
r) log 0,4 (x + 2) + log 0,4 (x + 3) = log 0,4(1 - 2x).
Похожие решебники
Популярные решебники 11 класс Все решебники
*размещая тексты в комментариях ниже, вы автоматически соглашаетесь с пользовательским соглашением