Упр.59.15 ГДЗ Мордкович 10-11 класс (Алгебра)
Решение #1
Решение #2

Рассмотрим вариант решения задания из учебника Мордкович, Семенов 11 класс, Мнемозина:
59.15
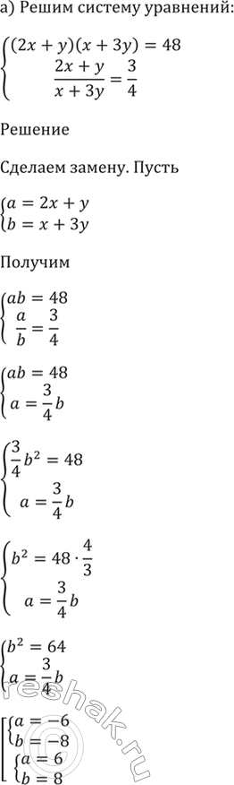
а) система
(2x + y)(x + Зy) = 48,
(2x + y)/ (x + 3y) = 3/4;
6) система
(x - 3) / (y + 2) = 4,
(x - 3)^2 + (y + 2)^2 = 17.
Похожие решебники
Популярные решебники 11 класс Все решебники
*размещая тексты в комментариях ниже, вы автоматически соглашаетесь с пользовательским соглашением