Упр.59.13 ГДЗ Мордкович 10-11 класс (Алгебра)
Решение #1
Решение #2

Рассмотрим вариант решения задания из учебника Мордкович, Семенов 11 класс, Мнемозина:
59.13
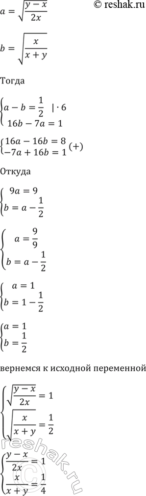
а) система
корень((y - x)/2x) - корень(x/(x + y)) = 1/2,
16корень(x/(x + y)) - 7корень((y - x)/2x) = 1;
Похожие решебники
Популярные решебники 11 класс Все решебники
*размещая тексты в комментариях ниже, вы автоматически соглашаетесь с пользовательским соглашением