Упр.59.11 ГДЗ Мордкович 10-11 класс (Алгебра)
Решение #1
Решение #2

Рассмотрим вариант решения задания из учебника Мордкович, Семенов 11 класс, Мнемозина:
59.11 Решите систему уравнений:
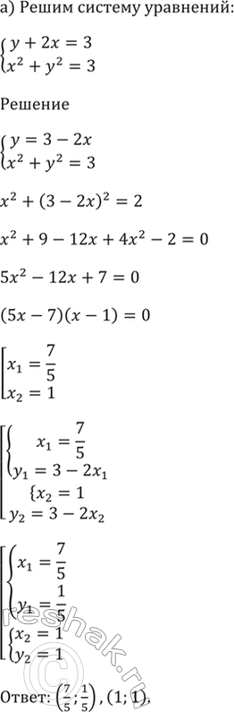
а) система
y + 2x = 3,
x^2 + y^2 = 2;
б) система
у/9 = (1/3)^x,
y = log2 x.
Похожие решебники
Популярные решебники 11 класс Все решебники
*К сожалению, временные проблемы с публикацией комментариев с мобильных устройств.