Упр.56.38 ГДЗ Мордкович 10-11 класс (Алгебра)
Решение #1
Решение #2

Рассмотрим вариант решения задания из учебника Мордкович, Семенов 11 класс, Мнемозина:
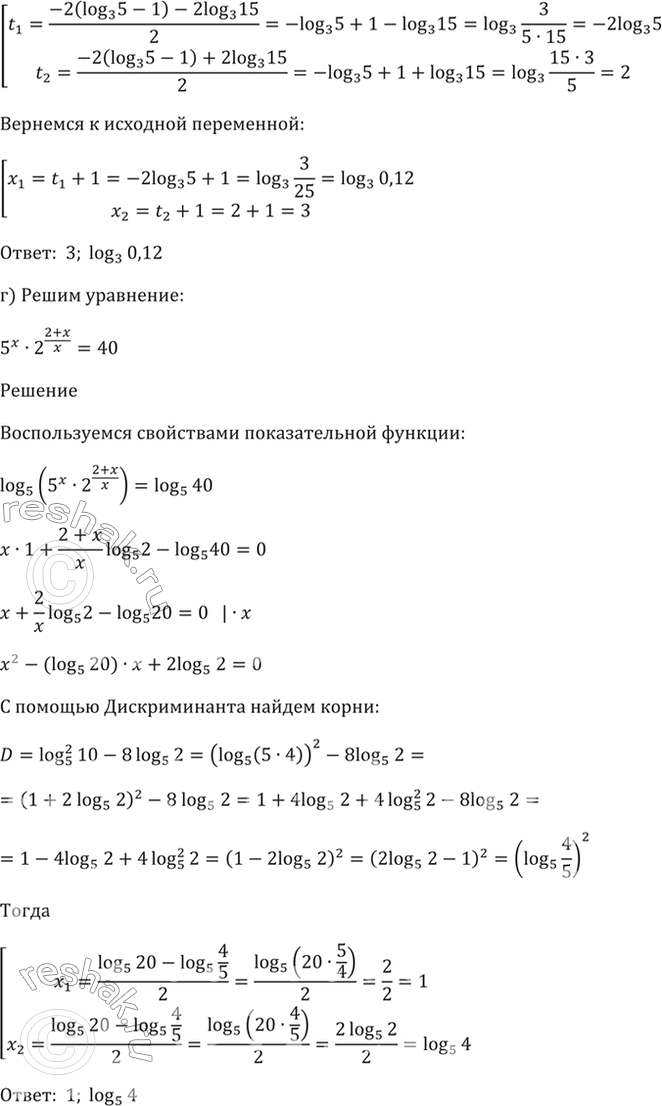
56.38
а) 2^х * 5^((1 + х)/x) = 50;
б) 3^х * 2^(3/х) = 24;
в) 3^(х - 1) * 625^((x - 2)/(х - 1)) = 225;
г) 5^х * 2^((2 - x)/х) = 40.
Похожие решебники
Популярные решебники 11 класс Все решебники
*К сожалению, временные проблемы с публикацией комментариев с мобильных устройств.