Упр.44.25 ГДЗ Мордкович 10-11 класс (Алгебра)
Решение #1
Решение #2

Рассмотрим вариант решения задания из учебника Мордкович, Семенов 11 класс, Мнемозина:
44.25
а) x^2 log36 (5x^2 - 2x - 3) - x log1/6 корень(5x^2 - 2x - 3) = x^2 + x;
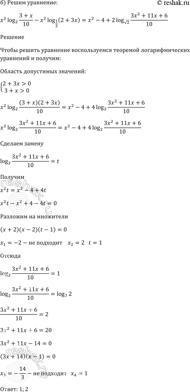
б) x^2 log2 (3 + x)/10 - x^2 log1/2 (2 + 3x) = x^2 - 4 + 2 logкорень(2) (3x^2 + 11x + 6)/10.
Похожие решебники
Популярные решебники 11 класс Все решебники
*размещая тексты в комментариях ниже, вы автоматически соглашаетесь с пользовательским соглашением