Упр.44.21 ГДЗ Мордкович 10-11 класс (Алгебра)
Решение #1
Решение #2

Рассмотрим вариант решения задания из учебника Мордкович, Семенов 11 класс, Мнемозина:
44.21
а) система
2^х * 2^y = 16,
log3 x + log3 у = 1;
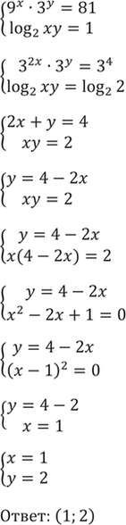
б) система
9^х * З^y = 81,
log2 x + log2 y = 1.
Похожие решебники
Популярные решебники 11 класс Все решебники
*К сожалению, временные проблемы с публикацией комментариев с мобильных устройств.