Упр.38.40 ГДЗ Мордкович 10-11 класс (Алгебра)
Решение #1
Решение #2

Рассмотрим вариант решения задания из учебника Мордкович, Семенов 11 класс, Мнемозина:
38.40 Проведите касательную к графику заданной функции из данной точки М:
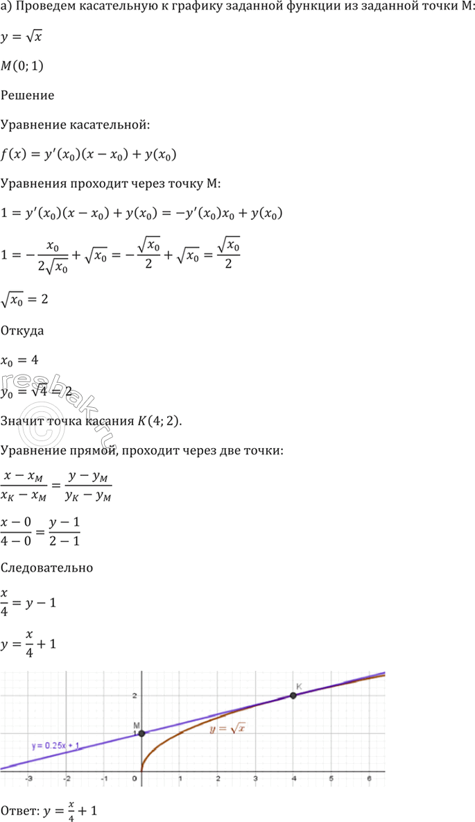
а) у = корень(x), М (0; 1);
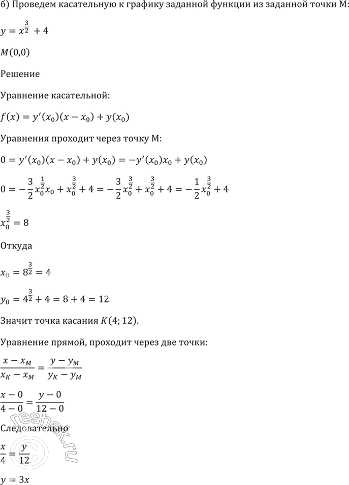
б) у = x^3/2 + 4, М(0; 0).
Похожие решебники
Популярные решебники 11 класс Все решебники
*К сожалению, временные проблемы с публикацией комментариев с мобильных устройств.