Упр.23.11 ГДЗ Мордкович 10-11 класс (Алгебра)
Решение #1
Решение #2

Рассмотрим вариант решения задания из учебника Мордкович, Семенов 10 класс, Мнемозина:
23.11 Найдите наименьший положительный и наибольший отрицательный корни уравнения:
a) sin x * sin 3x = 0,5;
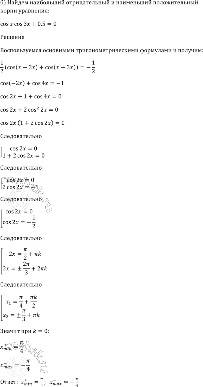
б) cos x * cos 3x + 0,5 = 0.
Похожие решебники
Популярные решебники 10 класс Все решебники
*размещая тексты в комментариях ниже, вы автоматически соглашаетесь с пользовательским соглашением