Упр.22.30 ГДЗ Мордкович 10-11 класс (Алгебра)
Решение #1
Решение #2

Рассмотрим вариант решения задания из учебника Мордкович, Семенов 10 класс, Мнемозина:
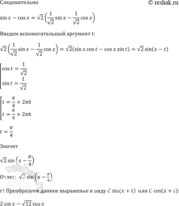
22.30 Преобразуйте данное выражение к виду Csin(x + t) или Ccos(x + t):
а) корень(3)sin x + cos x;
б) sin x + корень(3)cos x;
в) sin x - cos x;
г) 2sin x - корень(12)cos x.
Похожие решебники
Популярные решебники 10 класс Все решебники
*К сожалению, временные проблемы с публикацией комментариев с мобильных устройств.