Упр.22.27 ГДЗ Мордкович 10-11 класс (Алгебра)
Решение #1
Решение #2

Рассмотрим вариант решения задания из учебника Мордкович, Семенов 10 класс, Мнемозина:
22.27
а) sin x + sin 3x + cos x + cos 3x = 0;
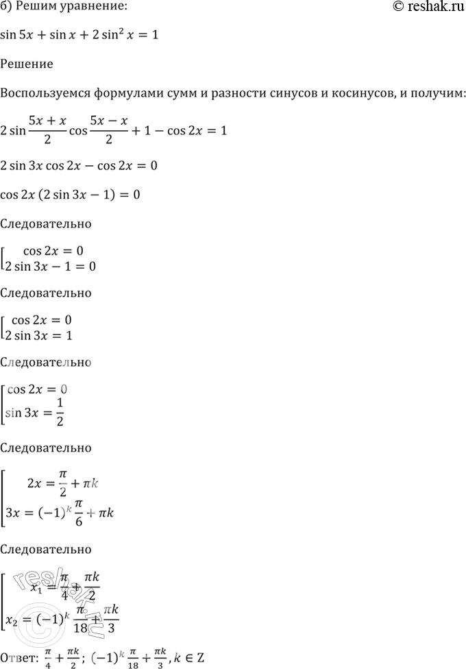
б) sin 5x + sin x + 2sin^2 x = 1.
Похожие решебники
Популярные решебники 10 класс Все решебники
*К сожалению, временные проблемы с публикацией комментариев с мобильных устройств.