Упр.21.29 ГДЗ Мордкович 10-11 класс (Алгебра)
Решение #1
Решение #2

Рассмотрим вариант решения задания из учебника Мордкович, Семенов 10 класс, Мнемозина:
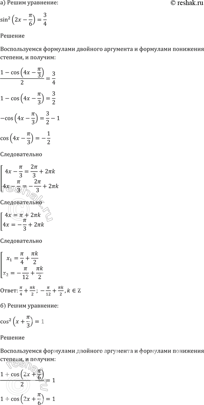
21.29
a) sin^2 (2x - РїРё/6) = 3/4;
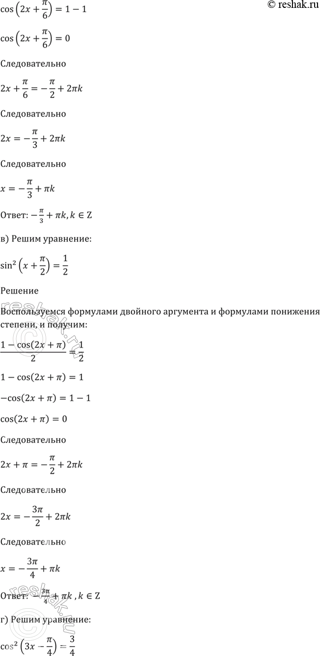
6) cos^2 (x + РїРё/3) = 1;
РІ) sin^2 (x + РїРё/2) = 1/2;
Рі) cos^2 (3x - РїРё/4) = 3/4.
Похожие решебники
Популярные решебники 10 класс Все решебники
*К сожалению, временные проблемы с публикацией комментариев с мобильных устройств.